近日,化學化工學院師生在化工領域頂級期刊AIChE Journal發表最新研究論文,論文題為Deep extractive denitrogenation with Cu-based ionic liquids and mechanistic insights。江蘇大學為該論文的第一完成單位,朱文帥教授和吳沛文副教授為論文共同通訊作者。

燃油中存在的有機氮化合物(ONCs)會對環境和石油加工產生各種有害影響。溶劑萃取技術自20世紀60年代起成為關鍵分離手段,其核心在于溶劑的選擇,其決定因素為待分離ONCs的理化特性,包括分子間作用力類型等。由于特異性的Lewis酸堿作用,金屬基離子液體作為溶劑在萃取脫除ONCs方面展現出獨特優勢,但是對于萃取過程活性物種辨認仍存在不明晰的瓶頸問題。
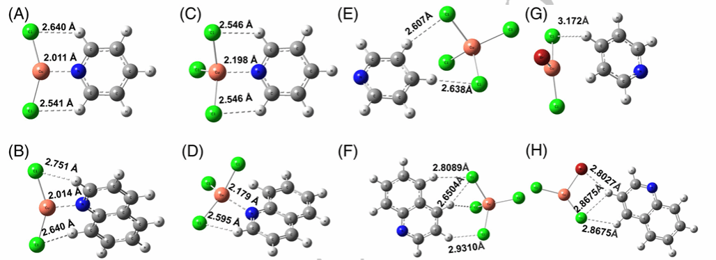
該工作成功制備了一系列銅基離子液體[Bmim]Cl/CuCl2-X,通過改變陰陽離子比例調控陰離子構型并優化其性能。實驗表明,當陰陽離子比為1:1時([Bmim]Cl/CuCl2-1),其展現出卓越的萃取脫氮(EDN)性能,結合拉曼光譜與理論計算發現,銅的未占據軌道以及[CuCl3]-中的氯離子與ONCs中的氮原子之間形成了有效的配位,這種Lewis酸堿相互作用對于實現深度EDN至關重要。該工作不僅提出了一種高效的銅基離子液體用于從燃油中深度去除ONCs,而且還為理解和調控EDN過程中的基本相互作用提供了深入認識。
該研究成果得到了國家重點研發計劃、國家自然科學基金、江蘇省自然科學基金優秀青年基金、中國博士后基金面上項目等項目的資助。(化學化工學院)
文章鏈接:https://doi.org/10.1002/aic.18739